避免走弯路《变形金刚:崛起》等级传授数据表曝光(2)
2014-09-19 14:35:55来源:优游网发布:优游网
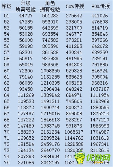
应用教程:
蓝色部分为固定值,紫色部分为手动输入值
现有55级角色1枚,经验31195/56008,找到对应的角色拥有经验,值为746582
角色拥有经验746582+本级拥有经验31195=777777(公式:C+F=G)
本级综合经验值 G=777777 然后选择传授比例:H/I
例如选择50%传授,所得经验为388889,对应等级46级。
(80%同上一致)




PS:本表主要是参考排行榜各路大神的卡牌数值,希望对大家合理使用传授功能有所帮助。
相关阅读
- 09-19 ·《变形金刚:崛起》跨服战打响,5月14日够胆就来
- 09-19 ·决战宇宙之巅 《变形金刚:崛起》“月球冒险”来袭
- 09-19 ·数据控必入!《变形金刚:崛起》小R、非R卡牌选择分析
- 09-19 ·玩出大R格调! 由追影联想《变形金刚:崛起》新阵容
- 09-19 ·《变形金刚:崛起》战斗塔95—100层过关心得
- 09-19 ·决战赛星曝光 老玩家回归《变形金刚:崛起》送iPhone6
- 09-19 ·孩之宝洽购梦工场《变形金刚:崛起》或推“功夫熊猫”卡
- 09-19 ·未知造物主首度现身《变形金刚:崛起》大改版
- 09-19 ·绝迹重生新纪元《变形金刚:崛起》新版今日来袭
- 09-19 ·《变形金刚:崛起》新版即将来袭 各种精彩抢先看


